Which group of channels in the 802.11b/g/n/ax 2.4 GHz frequency bands are non-overlapping channels?

Refer to the exhibit. Of the routes learned with dynamic routing protocols, which has the least preferred metric?
An on-site service desk technician must verify the IP addressss and DNS server information on a users Windows computer. Which command must the technician enter at the command prompt on the user ' s computer?
What are two lacts that differentiate optical-fiber cabling from copper cabling? (Choose two.)
What is a valid IPv6 addresss record in DNS?

Refer to the exhibit. Routers R1 and R2 have been configured with their respective LAN interfaces. The two circuits are operational and reachable across the WAN. Which command set establishes failover redundancy if the primary circuit goes down?
A network security team noticed that an increasing number of employees are becoming victims of phishing attacks. Which security program should be implemented to mitigate the problem?
Which interface is used to send traffic to the destination network?
10.249.210.56/25 [90/6144] via G0/15
10.249.210.56/25 [90/45053] via G0/13
10.249.210.56/25 [110/3693] via G0/16
10.249.210.56/25 [110/360] via G0/12

Refer to the exhibit. What is the administrative distance for the advertised prefix that includes the host IP addressss 192.168.20.1?

Refer to the exhibit. HQC needs to use a configuration that:
handles up to 150,000 concurrent connections
minimizes consumption of public IP addresssses
Which action prevents debug messages from being sent via syslog while allowing other messages when an abnormally high number of syslog messages are generated by a device with the debug process turned on?
How are API keys used to enforce rate limiting?

Refer to the exhibit. Which routes are configured with their default administrative distances?
A manager asks a network engineer to recommend a cloud service model so that employees do not spend time installing, managing, and updating software that is only used occasionally. Which cloud service model does the engineer recommend?
Drag and drop the characteristic from the left onto the IPv6 address type on the right.


Refer to the exhibit. Which interface does a packet take to reach the destination addresss of 10.10.10.147?
What is a function of the core and distribution layers in a collapsed-core architecture?
Which signal frequency appears 60 times per minute?
Refer to the exhibit.

What is the subnet mask of the route to the 10.10.13.160 prefix?
Which type of hypervisor operates without an underlying OS to host virtual machines?
Which command creates a static NAT binding for a PC addresss of 10.1.1.1 to the public routable addresss 209.165.200.225 assigned to the PC?
How does IPsec provide secure networking for applications within an organization?
What is a function of Layer 3 switches?
How does network automation help reduce network downtime?
What is the temporary state that switch ports always enter immediately after the boot process when Rapid PVST+ is used?

Refer to the exhibit. IPv6 is being Implemented within the enterprise. The command Ipv6 unlcast-routing is configure. Interlace GlgO/0 on R1 must be configured to provide a dynamic assignment using the assigned IPv6 block Which command accomplishes this task?
Refer to the exhibit.

Switch AccSw2 has just been added to the network along with PC2. All VLANs have been implemented on AccSw2. How must the ports on AccSw2 be configured to establish Layer 2 connectivity between PC1 and PC2?
Which alternative to password authentication Is Implemented to allow enterprise devices to log in to the corporate network?
Refer to the exhibit.

PC A is communicating with another device at IIP address 10.227.225.255. Through which router does router Y route the traffic?
Which interface is used to send traffic to the destination network?
O 10.18.75.113/27 [110/6906] via GO/6
O 10.18.75.113/27 [110/23018] via GO/3
R 10.18.75.113/27 [120/16] via GO/16
R 10.18.75.113/27 [120/14] via GO/23
Which technology is appropriate for communication between an SDN controller and applications running over the network?
Refer to the exhibit.

What does the host do when using the IPv4 Preferred function?
Refer to the exhibit.

What does route 10.0.1.3/32 represent in the routing table?
Which security protocol is appropriate for a WPA3 implementation?
Which mechanism allows WPA3 to provide a higher degree of security than its predecessors?
Which fact must the engineer consider when implementing syslog on a new network?
What describes the functionality of southbound APIs?

Refer to the exhibit. Traffic from R1 to the 10.10.2.0/24 subnet uses 192.168.1.2 as its next hop. A network engineer wants to update the R1 configuration so that traffic with destination 10.10.2.1 passes through router R3, and all other traffic to the 10.10.2.0/24 subnet passes through R2.
Which command must be used?
What are two benefits of private IPv4 addresssing? (Choose two.)
Which device separates networks by security domains?
Refer to the exhibit.

In which structure does the word " warning " directly reside?
Which authentication method requires the user to provide a physical attribute to authenticate successfully?
In which way does a spine-and-leaf architecture allow for scalability in a network when additional access ports are required?
A new DHCP server has been deployed in a corporate environment with lease time set to eight hours. Which CMD command on a Windows-based device allows the engineer to verify the DHCP lease expiration?
What is represented by the word " LB13 " within this JSDN schema?

It work security team noticed that an increasing number of employees are becoming victims of phishing attacks. Which security program should be implemented to mitigate the problem?
What is the RFC 4627 default encoding for JSDN text?
Refer to the exhibit.

Which IP route command created the best path for a packet destined for 10.10.10.3
Which two principles must be considered when using per-hop behavior in QoS? (Choose two.)
Refer to the exhibit.

Packets are flowing from 192.168.10.1 to the destination at IP addressss 192.168.20.75. Which next hop will the router select for the packet?
When deploying a new network that includes both Cisco and third-party network devices, which redundancy protocol avoids the interruption of network traffic if the default gateway router fails?
Drag and drop the AAA terms from the left onto the descriptions on the right.

Refer to the exhibit.

A network engineer is configuring a WLAN to connect with the 172.16.10.0/24 network on VLAN 20. The engineer wants to limit the number of devices that connect to the WLAN on the USERWL SSID to 125. Which configuration must the engineer perform on the WLC?

Refer to the exhibit. After applying this configuration to router R1, a network engineer is verifying the implementation. If all links are operating normally, and the engineer sends a series of packets from PC1 to PC3. how are the packets routed?
A network engineer is configuring a switch so that it is remotely reachable via SSH. The engineer has already configured the host name. Which additional command must the engineer configure before entering the command to generate the RSA key?
Which action implements physical access control as part of the security program of an organization?
Refer to the exhibit.

The network engineer is configuring a new WLAN and is told to use a static password for authentication instead of the RADIUS servers. Which additional set of tasks must the engineer perform to complete the configuration?
Refer to the exhibit.

A network engineer is updating the configuration on router R1 to connect a new branch office to the company network R2 has been configured correctly. Which command must the engineer configure so that devices at the new site communicate with the main office?
Refer to the exhibit.

Router R1 is added to the network and configured with the 10.0.0.64/26 and 10.0.20.0/24 subnets. However, traffic destined for the LAN on R3 is not accessible. Which command when executed on R1 defines a static route to reach the R3 LAN?
Drag and drop the characteristic from the left onto the IPv6 address type on the right.

Company has decided to require multifactor authentication for all systems. Which set of parameters meets the requirement?

Refer to the exhibit. Drag and drop the learned prefixes from the left onto the preferred route methods from which they were learned on the right.

What provides connection redundancy increased bandwidth and load sharing between a wireless LAN controller and a Layer 2 switch?
Refer to the exhibit.
Traffic from R1 to the 10.10.2.0/24 subnet uses 192.168.1.2 as its next hop. An network engineer wants to update the R1 configuration so that traffic with destination 10.10.2.1 passes through router R3, and all other traffic to the 10.10.20/24 subnet passes through r2. Which command must be used?

Drag and drop the DNS commands from the left onto their effects on the right.

Under which condition is TCP preferred over UDP?
What is a purpose of traffic shaping?
An engineer must configure a core router with a floating static default route to the backup router at 10.200.0.2.

Refer to the exhibit.

Which action by the router when a packet is sourced from 10.10.10.2 and destined 10.10.10.16?
What is the role of community strings in SNMP operations?
Which access point mode relies on a centralized controller for management, roaming, and SSID configuration?
Refer to the exhibit.

How many objects are present in the given JSON-encoded data?
Refer to the exhibit.

The EtherChannel is configured with a speed of 1000 and duplex as full on both ends of channel group 1. What is the next step to configure the channel on switch A to respond to but not initiate LACP communication?
Refer to the exhibit.

A)

B)

C)

D)

Which IPsec transport mode encrypts the IP header and the payload?
Why is TCP desired over UDP for application that require extensive error checking, such as HTTPS?
Refer to the exhibit.

Which configuration for RTR-1 denies SSH access from PC-1 to any RTR-1 interface and allows all other traffic?
A)

B)

C)

D)

When a switch receives a frame for an unknown destination MAC address, how is the frame handled?
When an access point is seeking to join wireless LAN controller, which message is sent to the AP- Manager interface?
Which action implements physical access control as part of the security program of an organization??
Drag and drop the virtualization concepts from the left onto the matching statements on the right.

Which syslog severity level is considered the most severe and results in the system being considered unusable?
Refer to the exhibit.

R1 has just received a packet from host A that is destined to host B. Which route in the routing table is used by R1 to reach host B?
Refer to the exhibit.

An IPv6 address must be obtained automatically on the LAN interface on R1 Which command must be implemented to accomplish the task?
Which protocol is used in Software Defined Access (SDA) to provide a tunnel between two edge nodes in different fabrics?

Refer to the exhibit. Local access for R4 must be established and these requirements must be met:
• Only Telnet access is allowed.
• The enable password must be stored securely.
• The enable password must be applied in plain text.
• Full access to R4 must be permitted upon successful login.
Which configuration script meets the requirements?
A)

B)

C)

D)

Refer to the exhibit.

An administrator received a call from a branch office regarding poor application performance hosted at the headquarters. Ethernet 1 is connected between Router1 and the LAN switch. What identifies the issue?
Refer to the exhibit.

A network engineer executes the show ip route command on router D. What is the next hop to network 192.168.1.0/24 and why?
Refer to the exhibit.

An engineer must configure router R2 so it is elected as the DR on the WAN subnet. Which command sequence must be configured?
A)

B)

C)

D)

Refer to the exhibit.

A network engineer must configure NETCONF. After creating the configuration, the engineer gets output from the command show line but not from show running-config. Which command completes the configuration?
Which command implies the use of SNMPv3?
Drag and drop the Rapid PVST+ forwarding state actions from the left to the right. Not all actions are used.

Drag and drop the steps in a standard DNS lookup operation from the left into the order on the right.

A network engineer must configure an interface with IIP address 10.10.10.145 and a subnet mask equivalent to 11111111.11111111.11111111.11111000. Which subnet mask must the engineer use?
Refer to the exhibit.

How does router R1 handle traffic to the 172.16.1.4/30 subnet?
What is the definition of backdoor malware?
Refer to the exhibit.

An engineer is updating the management access configuration of switch SW1 to allow secured, encrypted remote configuration. Which two commands or command sequences must the engineer apply to the switch? (Choose two.)
Refer to the exhibit
.

After configuring a new static route on the CPE. the engineer entered this series of commands to verify that the new configuration is operating normally When is the static default route installed into the routing table?
What is the function of northbound API?
Drag and drop the statements about networking from the left onto the corresponding networking types on the right

Refer to the exhibit.

The network engineer is configuring router R2 as a replacement router on the network After the initial configuration is applied it is determined that R2 failed to show R1 as a neighbor Which configuration must be applied to R2 to complete the OSPF configuration and enable it to establish the neighbor relationship with R1?
A)

B)

C)

D)

Refer to the exhibit.

A packet sourced from 10.10.10.1 is destined for 10.10.8.14. What is the subnet mask of the destination route?
Refer to the exhibit.

An engineer must configure a floating static route on an external EIGRP network. The destination subnet is the /29 on the LAN Interface of R86. Which command must be executed on R14?
NO: 346
What must a network administrator consider when deciding whether to configure a new wireless network with APs in autonomous mode or APs running in cloud-based mode?
Autonomous mode APs are less dependent on an underlay but more complex to maintain than APs in cloud-based mode.
Cloud-based mode APs rely on underlays and are more complex to maintain than APs in autonomous mode.
A router has two static routes to the same destination network under the same OSPF process. How does the router forward packets to the destination if the next-hop devices are different?

Refer to the exhibit. The router R1 is in the process of being configured. Routers R2 and R3 are configured correctly for the new environment. Which two commands must be configuredd on R1 for PC1 to communicate to all PCs on the 10.10.10.0/24 network? (Choose two.)
What are two examples of multifactor authentication? (Choose two.)
What are two protocols within the IPsec suite? (Choose two)
Refer to the exhibit.

How must OSPF be configured on the GigabitEthernet0/0 interface of the neighbor device to achieve.
A)

B)

C)

D)

Which IPv6 address range is suitable for anycast addresses for distributed services such DHCP or DNS?
Drag and drop the IPv6 address types from the left onto their description on the right.

By default, how long will the switch continue to know a workstation MAC address after the workstation stops sending traffic?
Drag and drop the Ansible features from the left to the right Not all features are used.

What is the put method within HTTP?
Drag and drop the statement about AAA services from the left to the corresponding AAA services on the right.

Drag and drop the characteristics of device-management technologies from the left onto the corresponding deployment types on the right.

PC1 tries to send traffic to newly installed PC2. The PC2 MAC address is not listed in the MAC address table of the switch, so the switch sends the packet to all ports in the same VLAN Which switching concept does this describe?
Which property is shared by 10GBase-SR and 10GBase-LR interfaces?
Which device segregates a network into separate zones that have their own security policies?
Refer to the exhibit.

A packet sourced from 172.18.33.2 is destined for 172.18.32.38. Where does the router forward the packet?
Refer to the exhibit.

Which entry is the longest prefix match for host IP address 192.168.10.5?
What is a reason to configure a trunk port that connects to a WLC distribution port?
Why is a first-hop redundancy protocol implemented?
Refer to the exhibit.

What does route 10.0.1.3/32 represent in the routing table?



IP connectivity and OSPF are preconfigured on all devices where necessary. Do not make any changes to the IP addressing or OSPF. The company policy uses connected interfaces and next hops when configuring static routes except for load balancing or redundancy without floating static. Connectivity must be established between subnet 172.20.20.128/25 on the Internet and the LAN at 192.168.0.0/24 connected to SW1:
1. Configure reachability to the switch SW1 LAN subnet in router R2.
2. Configure default reachability to the Internet subnet in router R1.
3. Configure a single static route in router R2 to reach to the Internet subnet considering both redundant links between routers R1 and R2. A default route is NOT allowed in router R2.
4. Configure a static route in router R1 toward the switch SW1 LAN subnet where the primary link must be through Ethernet0/1. and the backup link must be through Ethernet0/2 using a floating route. Use the minimal administrative distance value when required.
All physical cabling is in place. Router R4 and PCI are fully configured and
inaccessible. R4 ' s WAN interfaces use .4 in the last octet for each subnet.
Configurations should ensure that connectivity is established end-to-end.
1 . Configure static routing to ensure RI prefers the path through R2 to
reach only PCI on R4 ' s LAN
2. Configure static routing that ensures traffic sourced from RI will take
an alternate path through R3 to PCI in the event of an outage along
the primary path
3. Configure default routes on RI and R3 to the Internet using the least number of hops
Guidelines
This is a lab item in which tasks will be performed on virtual devices.
• Refer to the Tasks tab to view the tasks for this lab item.
• Refer to the Topology tab to access the device console(s) and perform the tasks.
• Console access is available for all required devices by clicking the device icon or using
the tab(s) above the console window.
• All necessary preconfigurations have been applied.
• Do not change the enable password or hostname for any device.
• Save your configurations to NVRAM before moving to the next item.
• Click Next at the bottom of the screen to submit this lab and move to the next question.
• When Next is clicked, the lab closes and cannot be reopened.

Configure IPv4 and IPv6 connectivity between two routers. For IPv4, use a /28 network from the 192.168.1.0/24 private range. For IPv6, use the first /64 subnet from the 2001:0db8:aaaa::/48 subnet.
1. Using Ethernet0/1 on routers R1 and R2, configure the next usable/28 from the 192.168.1.0/24 range. The network 192.168.1.0/28 is unavailable.
2. For the IPv4 /28 subnet, router R1 must be configured with the first usable host address.
3. For the IPv4 /28 subnet, router R2 must be configured with the last usable host address.
4. For the IPv6 /64 subnet, configure the routers with the IP addressing provided from the topology.
5. A ping must work between the routers on the IPv4 and IPv6 address ranges.


All physical cabling is in place. A company plans to deploy 32 new sites.
The sites will utilize both IPv4 and IPv6 networks.
1 . Subnet 172.25.0.0/16 to meet the subnet requirements and maximize
the number of hosts
Using the second subnet
• Assign the first usable IP address to e0/0 on Sw1O1
• Assign the last usable IP address to e0/0 on Sw102
2. Subnet to meet the subnet requirements and maximize
the number of hosts
c Using the second subnet
• Assign an IPv6 GUA using a unique 64-Bit interface identifier
on e0/0 on Sw101
• Assign an IPv6 GUA using a unique 64-Bit interface identifier
on eO/O on swi02
Guidelines
This is a lab item in which tasks will be performed on virtual devices.
• Refer to the Tasks tab to view the tasks for this lab item.
• Refer to the Topology tab to access the device console(s) and perform the tasks.
• Console access is available for all required devices by clicking the device icon or using
the tab(s) above the console window.
• All necessary preconfigurations have been applied.
• Do not change the enable password or hostname for any device.
• Save your configurations to NVRAM before moving to the next item.
• Click Next at the bottom of the screen to submit this lab and move to the next question.
• When Next is clicked, the lab closes and cannot be reopened.



IP connectivity between the three routers is configured. OSPF adjacencies must be established.
1. Configure R1 and R2 Router IDs using the interface IP addresses from the link that is shared between them.
2. Configure the R2 links with a max value facing R1 and R3. R2 must become the DR. R1 and R3 links facing R2 must remain with the default OSPF configuration for DR election. Verify the configuration after clearing the OSPF process.
3. Using a host wildcard mask, configure all three routers to advertise their respective Loopback1 networks.
4. Configure the link between R1 and R3 to disable their ability to add other OSPF routers.
Connectivity between four routers has been established. IP connectivity must be configured in the order presented to complete the implementation. No dynamic routing protocols are included.
1. Configure static routing using host routes to establish connectivity from router R3 to the router R1 Loopback address using the source IP of 209.165.200.230.
2. Configure an IPv4 default route on router R2 destined for router R4.
3. Configure an IPv6 default router on router R2 destined for router R4.



All physical cabling between the two switches is installed. Configure the network connectivity between the switches using the designated VLANs and interfaces.
1. Configure VLAN 100 named Compute and VLAN 200 named Telephony where required for each task.
2. Configure Ethernet0/1 on SW2 to use the existing VLAN named Available.
3. Configure the connection between the switches using access ports.
4. Configure Ethernet0/1 on SW1 using data and voice VLANs.
5. Configure Ethemet0/1 on SW2 so that the Cisco proprietary neighbor discovery protocol is turned off for the designated interface only.



Connectivity between three routers has been established, and IP services must be configured jn the order presented to complete the implementation Tasks assigned include configuration of NAT, NTP, DHCP, and SSH services.
1. All traffic sent from R3 to the R1 Loopback address must be configured for NAT on R2. All source addresses must be translated from R3 to the IP address of Ethernet0/0 on R2, while using only a standard access list named NAT To verify, a ping must be successful to the R1 Loopback address sourced from R3. Do not use NVI NAT configuration.
2. Configure R1 as an NTP server and R2 as a client, not as a peer, using the IP address of the R1 Ethernet0/2 interface. Set the clock on the NTP server for midnight on January 1, 2019.
3. Configure R1 as a DHCP server for the network 10.1.3.0/24 in a pool named TEST. Using a single command, exclude addresses 1-10 from the range. Interface Ethernet0/2 on R3 must be issued the IP address of 10.1.3.11 via DHCP.
4. Configure SSH connectivity from R1 to R3, while excluding access via other remote connection protocols. Access for user root and password Cisco must be set on router R3 using RSA and 1024 bits. Verify connectivity using an SSH session from router R1 using a destination address of 10.1.3.11. Do NOT modify console access or line numbers to accomplish this task.
Physical connectivity is implemented between the two Layer 2 switches, and the network connectivity between them must be configured
1. Configure an LACP EtherChannel and number it as 1; configure it between switches SW1 and SVV2 using interfaces Ethernet0/0 and Ethernet0/1 on both sides. The LACP mode must match on both ends
2 Configure the EtherChannel as a trunk link.
3. Configure the trunk link with 802.1 q tags.
4. Configure the native VLAN of the EtherChannel as VLAN 15.


Physical connectivity is implemented between the two Layer 2 switches,
and the network connectivity between them must be configured.
I . Configure an LACP EtherChanneI and number it as 44; configure it
between switches SWI and SW2 using interfaces EthernetO/O and
Ethernet0/1 on both sides. The LACP mode must match on both ends.
2. Configure the EtherChanneI as a trunk link.
3. Configure the trunk link with 802. Iq tags.
4. Configure VLAN ' MONITORING ' as the untagged VLAN of the
EtherChannel.
==================
Guidelines
This is a lab item in which tasks will be performed on virtual devices.
• Refer to the Tasks tab to view the tasks for this lab item.
• Refer to the Topology tab to access the device console(s) and perform the tasks.
• Console access is available for all required devices by clicking the device icon or using
the tab(s) above the console window.
• All necessary preconfigurations have been applied.
• Do not change the enable password or hostname for any device.
• Save your configurations to NVRAM before moving to the next item.
• Click Next at the bottom of the screen to submit this lab and move to the next question.
• When Next is clicked, the lab closes and cannot be reopened.


Three switches must be configured for Layer 2 connectivity. The company requires only the designated VLANs to be configured on their respective switches and permitted accross any links between switches for security purposes. Do not modify or delete VTP configurations.
The network needs two user-defined VLANs configured:
VLAN 110: MARKETING
VLAN 210: FINANCE
1. Configure the VLANs on the designated switches and assign them as access ports to the interfaces connected to the PCs.
2. Configure the e0/2 interfaces on Sw1 and Sw2 as 802.1q trunks with only the required VLANs permitted.
3. Configure the e0/3 interfaces on Sw2 and Sw3 as 802.1q trunks with only the required VLANs permitted.

Drag and drop the threat-mitigation techniques from the left onto the types of threat or attack they mitigate on the right.

What does a router do when configured with the default DNS lookup settings, and a URL is entered on the CLI?
An email user has been lured into clicking a link in an email sent by their company ' s security organization. The webpage that opens reports that it was safe but the link could have contained malicious code. Which type of security program is in place?
How do TCP and UDP differ in the way they provide reliability for delivery of packets?
Which two minimum parameters must be configured on an active interface to enable OSPFv2 to operate? (Choose two)
Which device tracks the state of active connections in order to make a decision to forward a packet through?
Refer to the exhibit.

Which switch becomes the root bridge?
What are two functions of a server on a network? (Choose two)
In which situation is private IPv4 addressing appropriate for a new subnet on the network of an organization?
What is a DHCP client?
An engineer is asked to protect unused ports that are configured in the default VLAN on a switch.
Which two steps will fulfill the request? (Choose two)
What is the function of a hub-and-spoke WAN topology?
Which MAC address is recognized as a VRRP virtual address?
Where does the configuration reside when a helper address Is configured lo support DHCP?
What is an advantage of Cisco DNA Center versus traditional campus device management?
What is a practice that protects a network from VLAN hopping attacks?
Which two WAN architecture options help a business improve scalability and reliability for the network? (Choose two.)
Drag and drop the 802.11 wireless standards from the left onto the matching statements on the right

Refer to the exhibit.

After running the code in the exhibit, which step reduces the amount of data that the NETCONF server returns to the NETCONF client, to only the interface ' s configuration?
A frame that enters a switch fails the Frame Check Sequence. Which two interface counters are incremented? (Choose two)
Router R1 must send all traffic without a matching routing-table entry to 192.168.1.1. Which configuration accomplishes this task?

Which QoS Profile is selected in the GUI when configuring a voice over WLAN deployment?
Which two capacities of Cisco DNA Center make it more extensible as compared to traditional campus device management? (Choose two)
What is a similarity between OM3 and OM4 fiber optic cable?
Several new coverage cells are required to improve the Wi-Fi network of an organization. Which two standard designs are recommended? (choose two.)
Which command entered on a switch configured with Rapid PVST+ listens and learns for a specific time period?
How does a switch process a frame received on Fa0/1 with the destination MAC address of 0e38.7363.657b when the table is missing the address?
Refer to the exhibit.

Which switch becomes the root of the spanning tree for VLAN 110?

Refer to the exhibit.

The network administrator wants VLAN 67 traffic to be untagged between Switch 1 and Switch 2 while all other VLANs are to remain tagged.
Which command accomplishes this task?
What mechanism carries multicast traffic between remote sites and supports encryption?
What are two improvements provided by automation for network management in an SDN environment? (Choose two)
Aside from discarding, which two states does the switch port transition through while using RSTP (802.1w)? (Choose two)
Which type of security program is violated when a group of employees enters a building using the ID badge of only one person?
Which security program element involves installing badge readers on data-center doors to allow workers to enter and exit based on their job roles?
A network engineer is configuring an OSPFv2 neighbor adjacency Drag and drop the parameters from the left onto their required categories on the right. Not all parameters are used

What are two benefits of controller-based networking compared to traditional networking?
What is a benefit of using a Cisco Wireless LAN Controller?
Refer to Exhibit.

The loopback1 interface of the Atlanta router must reach the loopback3 interface of the Washington router. Which two static host routes must be configured on the New York router? (Choose two)
A network engineer must back up 20 network router configurations globally within a customer environment. Which protocol allows the engineer to perform this function using the Cisco IOS MIB?
Which access layer threat-mitigation technique provides security based on identity?
Drag and drop the characteristics of network architectures from the left onto the type of architecture on the right.

Which device controls the forwarding of authentication requests for users when connecting to the network using a lightweight access point?
Refer to exhibit.

Which statement explains the configuration error message that is received?
What criteria is used first during the root port selection process?
Which CRUD operation corresponds to the HTTP GET method?
Which command on a port enters the forwarding state immediately when a PC is connected to it?
Refer to the exhibit.

Which type of route does R1 use to reach host 10.10.13.10/32?
Which two protocols are supported on service-port interfaces? (Choose two.)
Which two actions are performed by the Weighted Random Early Detection mechanism? (Choose two)
What is the primary purpose of a First Hop Redundancy Protocol?
Refer to the exhibit.

PC1 is trying to ping PC3 for the first time and sends out an ARP to S1 Which action is taken by S1?
Why would VRRP be implemented when configuring a new subnet in a multivendor environment?
Drag and drop the statements about networking from the left onto the corresponding networking types on the right

Drag and drop the QoS terms from the left onto the descriptions on the right.

What is a similarity between 1000BASE-LX and 1000BASE-T standards?
Refer to the exhibit.

A network engineer must update the configuration on Switch2 so that it sends LLDP packets every minute and the information sent via LLDP is refreshed every 3 minutes Which configuration must the engineer apply?
A)

B)

C)

D)

Drag and drop the TCP or UDP details from the left onto their corresponding protocols on the right.

Drag and drop the IPv6 addresses from the left onto the corresponding address types on the right.

How does authentication differ from authorization?
Refer to the exhibit.

What is the next hop for traffic entering R1 with a destination of 10.1.2.126?
Which QoS traffic handling technique retains excess packets in a queue and reschedules these packets for later transmission when the configured maximum bandwidth has been surpassed?
Refer to the exhibit.

What is the effect of this configuration?
Which PoE mode enables powered-device detection and guarantees power when the device is detected?
An engineer is installing a new wireless printer with a static IP address on the Wi-Fi network. Which feature must be enabled and configured to prevent connection issues with the printer?
Refer to the exhibit.

Traffic sourced from the loopback0 Interface is trying to connect via ssh to the host at 10.0.1.15. What Is the next hop to the destination address?
What is a function of Cisco Advanced Malware Protection for a Next-Generation IPS?
Drag and drop the descriptions from the left onto the configuration-management technologies on the right.

Refer to Exhibit.

Rotor to the exhibit. The IP address configurations must be completed on the DC-1 and HQ-1 routers based on these requirements:
DC-1 Gi1/0 must be the last usable address on a /30
DC-1 Gi1/1 must be the first usable address on a /29
DC-1 Gi1/2 must be the last usable address on a /28
HQ-1 Gil/3 must be the last usable address on a /29
Drag and drop the commands from the left onto the destination interfaces on the right. Not all commands are used

Which two wireless security standards use Counter Mode with Cipher Block Chaining Message Authentication Code Protocol for encryption and data integrity ' ? (Choose two.)
Refer to the exhibit.

Which plan must be Implemented to ensure optimal QoS marking practices on this network?
Drag and drop the IPv6 address details from the left onto the corresponding types on the right.

Refer to the exhibit.

Which configuration allows routers R14 and R86 to form an OSPFv2 adjacency while acting as a central point for exchanging OSPF information between routers?
A)

B)

C)

D)

Which WLC management connection type is vulnerable to man-in-the-middle attacks?
Refer to the exhibit.

A network engineer is in the process of establishing IP connectivity between two sites. Routers R1 and R2 are partially configured with IP addressing. Both routers have the ability to access devices on their respective LANs. Which command set configures the IP connectivity between devices located on both LANs in each site?

Refer to the exhibit.

Which command configures OSPF on the point-to-point link between routers R1 and R2?
Refer to the exhibit.

A company is configuring a failover plan and must implement the default routes in such a way that a floating static route will assume traffic forwarding when the primary link goes down. Which primary route configuration must be used?
Refer to the exhibit.

All traffic enters the CPE router from interface Serial0/3 with an IP address of 192 168 50 1 Web traffic from the WAN is destined for a LAN network where servers are load-balanced An IP packet with a destination address of the HTTP virtual IP of 192 1681 250 must be forwarded Which routing table entry does the router use?
Refer to the exhibit.

Which two configurations must the engineer apply on this network so that R1 becomes the DR? (Choose two.)
A)

B)

C)

D)

E)

What is a requirement for nonoverlapping Wi-Fi channels?
Refer to the exhibit.

Which switch becomes the root of a spanning tree for VLAN 20 if all links are of equal speed?

Which type of API allows SDN controllers to dynamically make changes to the network?
Which plane is centralized by an SDN controller?
Drag and drop the HTTP methods used with REST-Based APIs from the left onto the descriptions on the right.

Refer to the exhibit.

Which two commands when used together create port channel 10? (Choose two.)
Refer to the exhibit.

The given Windows PC is requesting the IP address of the host at To which IP address is the request sent?
Refer to the exhibit.

Which minimum configuration items are needed to enable Secure Shell version 2 access to R15?
A)

B)

C)

D)

Refer to the exhibit.

The DHCP server and clients are connected to the same switch. What is the next step to complete the DHCP configuration to allow clients on VLAN 1 to receive addresses from the DHCP server?
Refer to the exhibit.

Users need to connect to the wireless network with IEEE 802.11r-compatible devices. The connection must be maintained as users travel between floors or to other areas in the building What must be the configuration of the connection?
An engineer configures interface Gi1/0 on the company PE router to connect to an ISP Neighbor Discovery is disabled

Which action is necessary to complete the configuration if the ISP uses third-party network devices?
Refer to the exhibit.

The New York router is configured with static routes pointing to the Atlanta and Washington sites. Which two tasks must be performed so that the Serial0/0/0 interfaces on the Atlanta and Washington routers can reach one another?
(Choose two.)
Refer to the exhibit.

For security reasons, automatic Neighbor Discovery must be disabled on the R5 Gi0/1 interface. These tasks must be completed:
• Disable all Neighbor Discovery methods on R5 interface GiO/1.
• Permit Neighbor Discovery on R5 interface GiO/2.
• Verify there are no dynamically learned neighbors on R5 interface Gi0/1.
• Display the IP address of R6*s interface Gi0/2.
Which configuration must be used?

An engineer is configuring switch SW1 to act an NTP server when all upstream NTP server connectivity fails. Which configuration must be used?
A)

B)

C)

D)

Which protocol uses the SSL?
Refer to the exhibit.

All VLANs are present in the VLAN database. Which command sequence must be applied to complete the configuration?
What is a function performed by a web server?
Refer to the exhibit.

An engineer is configuring an EtherChannel using LACP between Switches 1 and 2 Which configuration must be applied so that only Switch 1 sends LACP initiation packets?
R1 has learned route 192.168.12.0/24 via IS-IS. OSPF, RIP. and Internal EIGRP Under normal operating conditions, which routing protocol is installed in the routing table?
Refer to the exhibit.

Web traffic is coming in from the WAN interface. Which route takes precedence when the router is processing traffic destined for the LAN network at 10 0.10.0/24?
Refer to the exhibit.

Switch A is newly configured. All VLANs are present in the VLAN database. The IP phone and PC A on Gi0/1 must be configured for the appropriate VLANs to establish connectivity between the PCs. Which command set fulfills the requirement?
A)

B)

C)

D)

Refer to the exhibit.

What are two conclusions about this configuration? {Choose two.)
What is the default port-security behavior on a trunk link?
What is a function of an endpoint on a network?
Refer to the exhibit.

Which two commands must be configured on router R1 to enable the router to accept secure remote-access connections? (Choose two)
Drag and drop the threat-mitigation techniques from the left onto the types of threat or attack they mitigate on the right.

Refer to the exhibit.

Which two commands were used to create port channel 10? (Choose two )

Refer to the exhibit.

Router R1 currently is configured to use R3 as the primary route to the Internet, and the route uses the default administrative distance settings. A network engineer must configure R1 so that it uses R2 as a backup, but only if R3 goes down. Which command must the engineer configure on R1 so that it correctly uses R2 as a backup route, without changing the administrative distance configuration on the link to R3?
What is the function of " off-the-shelf " switches in a controller-based network?

Refer to the exhibit. An engineer is asked to configure router R1 so that it forms an OSPF single-area neighbor relationship with R2. Which command sequence must be implemented to configure the router?

Which QoS tool is used to optimize voice traffic on a network that is primarily intended for data traffic?
Which characteristic differentiates the concept of authentication from authorization and accounting?
What is a function of Opportunistic Wireless Encryption in an environment?
What are two benefits of FHRPs? (Choose two.)
Refer to the exhibit.

What is a reason for poor performance on the network interface?
What is the same for both copper and fiber interfaces when using SFP modules?
In software-defined architecture, which place handles switching for traffic through a Cisco router?
Which technology must be implemented to configure network device monitoring with the highest security?
Refer to the exhibit.

What does router R1 use as its OSPF router-ID?
Refer to the exhibit.

A packet is being sent across router R1 to host 172.163.3.14. To which destination does the router send the packet?
Refer to the exhibit.

Drag and drop the networking parameters from the left onto the correct values on the right.

Using direct sequence spread spectrum, which three 2.4-GHz channels are used to limit collisions?
Refer to the exhibit.

A network engineer must block access for all computers on VLAN 20 to the web server via HTTP All other computers must be able to access the web server Which configuration when applied to switch A accomplishes this task?

Refer to the exhibit.

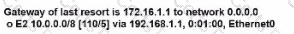
With which metric was the route to host 172.16.0.202 learned?
An engineer must configure a WLAN using the strongest encryption type for WPA2- PSK. Which cipher fulfills the configuration requirement?
Which action must be taken to assign a global unicast IPv6 address on an interface that is derived from the MAC address of that interface?
Which function does an SNMP agent perform?
Refer to the exhibit.

Router R1 is running three different routing protocols. Which route characteristic is used by the router to forward the packet that it receives for destination IP 172.16.32.1?
Drag and drop to the characteristics of networking from the left onto the correct networking types on the right.

Which unified access point mode continues to serve wireless clients after losing connectivity to the Cisco Wireless LAN Controller?
A Cisco IP phone receive untagged data traffic from an attached PC. Which action is taken by the phone?
Refer to the exhibit.

Router R2 is configured with multiple routes to reach network 10 1.1 0/24 from router R1. What protocol is chosen by router R2 to reach the destination network 10.1 1 0/24?
What are two benefits of FHRPs? (Choose two.)
Which two actions influence the EIGRP route selection process? (Choose two)
What is the function of a server?
Drag and drop the TCP/IP protocols from the left onto the transmission protocols on the right

An engineer must establish a trunk link between two switches. The neighboring switch is set to trunk or desirable mode. What action should be taken?
Refer to the exhibit.

Which action is taken by the router when a packet is sourced from 10.10.10.2 and destined for 10.10.10.16?

Refer to the exhibit. After the configuration is applied, the two routers fail to establish an OSPF neighbor relationship. what is the reason for the problem?
How do AAA operations compare regarding user identification, user services and access control?
Drag and drop the Cisco Wireless LAN Controller security settings from the left onto the correct security mechanism categories on the right.

With REST API, which standard HTTP header tells a server which media type is expected by the client?
What is a characteristic of private IPv4 addressing?
Which two must be met before SSH can operate normally on a Cisco IOS switch? (Choose two)
An engineer is configuring an encrypted password for the enable command on a router where the local user database has already been configured Drag and drop the configuration commands from the left into the correct sequence on the right Not all commands are used

Which design element is a best practice when deploying an 802.11b wireless infrastructure?
Which networking function occurs on the data plane?
How are VLAN hopping attacks mitigated?
Refer to the exhibit.

Which route type is configured to reach the internet?
which IPv6 address block forwards packets to a multicast address rather than a unicast address?
Refer to the exhibit.

Which two commands, when configured on router R1, fulfill these requirements? (Choose two.)
Packets towards the entire network 2001:db8:2::/64 must be forwarded through router R2.
Packets toward host 2001:db8:23::14 preferably must be forwarded through R3.
When a WPA2-PSK WLAN is configured in the wireless LAN Controller, what is the minimum number of characters that in ASCII format?
Refer to the exhibit.

If configuring a static default route on the router with the ip route 0.0.0.0 0.0.0.0 10.13.0.1 120 command how does the router respond?
Drag and drop the DNS lookup components from the left onto the functions on the right.

Which action does the router take as it forwards a packet through the network?
Which goal is achieved by the implementation of private IPv4 addressing on a network?
Drag and drop the statement about networking from the left into the Corresponding networking types on the right. Not all statements are used.

When a site-to-site VPN is configured, which IPsec mode provides encapsulation and encryption of the entire original IP packet?
Which two values or settings must be entered when configuring a new WLAN in the Cisco Wireless LAN Controller GUI? (Choose two)
Refer to the exhibit.

R5 is the current DR on the network, and R4 is the BDR. Their interfaces are flapping, so a network engineer wants the OSPF network to elect a different DR and BDR. Which set of configurations must the engineer implement?
A)

B)

C)

D)

Which command must be entered to configure a DHCP relay?
How does a Cisco Unified Wireless network respond to Wi-Fi channel overlap?
What is the difference in data transmission delivery and reliability between TCP and UDP?
Which 802.11 frame type is indicated by a probe response after a client sends a probe request?
When deploying syslog, which severity level logs informational message?
Which technology can prevent client devices from arbitrarily connecting to the network without state remediation?
Refer to the exhibit.

The default-information originate command is configured under the R1 OSPF configuration After testing workstations on VLAN 20 at Site B cannot reach a DNS server on the Internet Which action corrects the configuration issue?
Which IPv6 address type provides communication between subnets and is unable to route on the Internet?
Refer to the exhibit.

When PC-A sends traffic to PC-B, which network component is in charge of receiving the packet from PC-A verifying the IP addresses, and forwarding the packet to PC-B?
Refer to Exhibit.

Which configuration must be applied to the router that configures PAT to translate all addresses in VLAN 200 while allowing devices on VLAN 100 to use their own IP addresses?

What is a function of TFTP in network operations?
What are network endpoints?
How does CAPWAP communicate between an access point in local mode and a WLC?
What is a function of the Cisco DNA Center Overall Health Dashboard?
What is a syslog facility?
Which level of severity must be set to get informational syslogs?